KMT-2026-BLG-0147 list page

prev next

Finding chart
Field BLG32N0305
Star ID 031688
Classification clear
RA 18:14:40.95
Dec -28:23:37.21
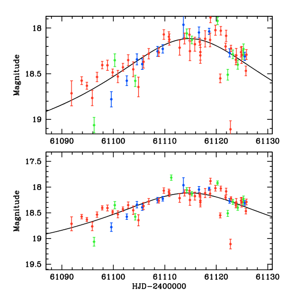
t_0 61115.00991
t_E 22.66
u_0 0.387
Isource 19.22
Ibase 19.05
Icat 19.05
Catalog type OGLE-III
A_I 0.37
Related event OB260219
Alert date 2026 Mar 16 01:21

pySIS light curve

KMT-2026-BLG-0147


CTIO

SAAO

SSO


KMTA32_I.pysis
KMTA32_V.pysis
KMTC32_I.pysis
KMTC32_V.pysis
KMTS32_I.pysis
KMTS32_V.pysis

gzipped tar file for all pySIS data



DIA light curve

KMT-2026-BLG-0147


CTIO

SAAO

SSO

Largest local dchi2 value (same as site of EVENT name)

Local dchi2 is less than 0.05 times global dchi2


KMTA32_I.diapl
KMTC32_I.diapl
KMTS32_I.diapl

gzipped tar file for all DIA data


prev next