KMT-2026-BLG-0148 list page

prev next

Finding chart
Field SSO33N0507
Star ID 023855
Classification clear
RA 18:15:40.81
Dec -30:18:50.65
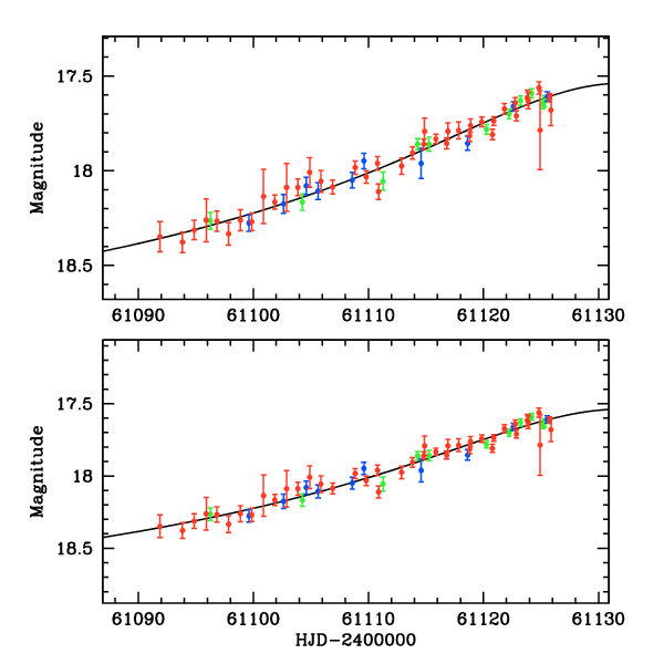
t_0 61164.66307
t_E 199.63
u_0 0.107
Isource 19.21
Ibase 19.76
Icat 19.76
Catalog type DECam i
A_I 0.49
Related event OB260221
Alert date 2026 Mar 16 01:21

pySIS light curve

KMT-2026-BLG-0148


CTIO

SAAO

SSO


KMTA33_I.pysis
KMTA33_V.pysis
KMTC33_I.pysis
KMTC33_V.pysis
KMTS33_I.pysis
KMTS33_V.pysis

gzipped tar file for all pySIS data



DIA light curve

KMT-2026-BLG-0148


CTIO

SAAO

SSO

Largest local dchi2 value (same as site of EVENT name)

Local dchi2 is less than 0.05 times global dchi2


KMTA33_I.diapl
KMTC33_I.diapl
KMTS33_I.diapl

gzipped tar file for all DIA data


prev next