KMT-2026-BLG-0146 list page

prev next

Finding chart
Field SAO32N0207
Star ID 008141
Classification clear
RA 18:14:57.81
Dec -28:12:13.79
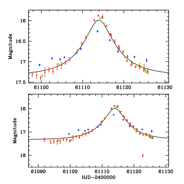
t_0 61113.98711
t_E 20.12
u_0 0.109
Isource 18.41
Ibase 17.78
Icat 17.78
Catalog type OGLE-III
A_I 0.50
Related event OB260220
Alert date 2026 Mar 16 01:21

pySIS light curve

KMT-2026-BLG-0146


CTIO

SAAO

SSO


KMTA32_I.pysis
KMTA32_V.pysis
KMTC32_I.pysis
KMTC32_V.pysis
KMTS32_I.pysis
KMTS32_V.pysis

gzipped tar file for all pySIS data



DIA light curve

KMT-2026-BLG-0146


CTIO

SAAO

SSO

Largest local dchi2 value (same as site of EVENT name)

Local dchi2 is less than 0.05 times global dchi2


KMTA32_I.diapl
KMTC32_I.diapl
KMTS32_I.diapl

gzipped tar file for all DIA data


prev next