KMT-2026-BLG-0055 list page

prev next

Finding chart
Field BLG17T0504
Star ID 038268
Classification clear
RA 17:41:51.22
Dec -33:51:52.49
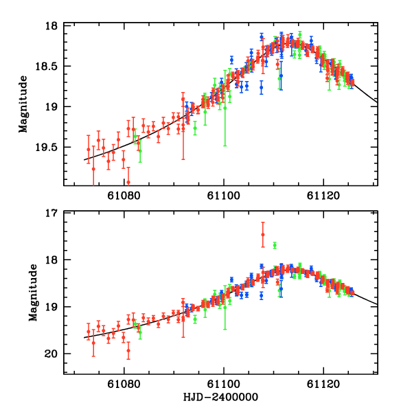
t_0 61113.58167
t_E 57.81
u_0 0.166
Isource 20.36
Ibase 20.00
Icat 20.53
Catalog type DECam i
A_I 2.51
Related event OB260288
Alert date 2026 Mar 16 01:21

pySIS light curve

KMT-2026-BLG-0055


CTIO

SAAO

SSO


KMTA17_I.pysis
KMTA17_V.pysis
KMTC17_I.pysis
KMTC17_V.pysis
KMTS17_I.pysis
KMTS17_V.pysis

gzipped tar file for all pySIS data



DIA light curve

KMT-2026-BLG-0055


CTIO

SAAO

SSO

Largest local dchi2 value (same as site of EVENT name)

Local dchi2 is less than 0.05 times global dchi2


KMTA17_I.diapl
KMTC17_I.diapl
KMTS17_I.diapl

gzipped tar file for all DIA data


prev next