KMT-2026-BLG-0054 list page

prev next

Finding chart
Field BLG17T0501
Star ID 018324
Classification clear
RA 17:42:04.18
Dec -34:11:40.70
t_0 61136.50151
t_E 197.32
u_0 0.002
Isource 20.79
Ibase 19.55
Icat 19.55
Catalog type DECam i
A_I 2.09
Related event OB260080
Alert date 2026 Mar 16 01:21

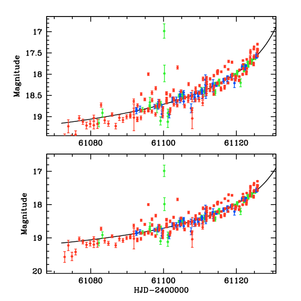
pySIS light curve

KMT-2026-BLG-0054


CTIO

SAAO

SSO


KMTA17_I.pysis
KMTA17_V.pysis
KMTC17_I.pysis
KMTC17_V.pysis
KMTS17_I.pysis
KMTS17_V.pysis

gzipped tar file for all pySIS data



DIA light curve

KMT-2026-BLG-0054


CTIO

SAAO

SSO

Largest local dchi2 value (same as site of EVENT name)

Local dchi2 is less than 0.05 times global dchi2


KMTA17_I.diapl
KMTC17_I.diapl
KMTS17_I.diapl

gzipped tar file for all DIA data


prev next