KMT-2026-BLG-0023 list page

prev next

Finding chart
Field SAO04T0406
Star ID 036662
Classification clear
RA 18:01:30.86
Dec -30:26:22.88
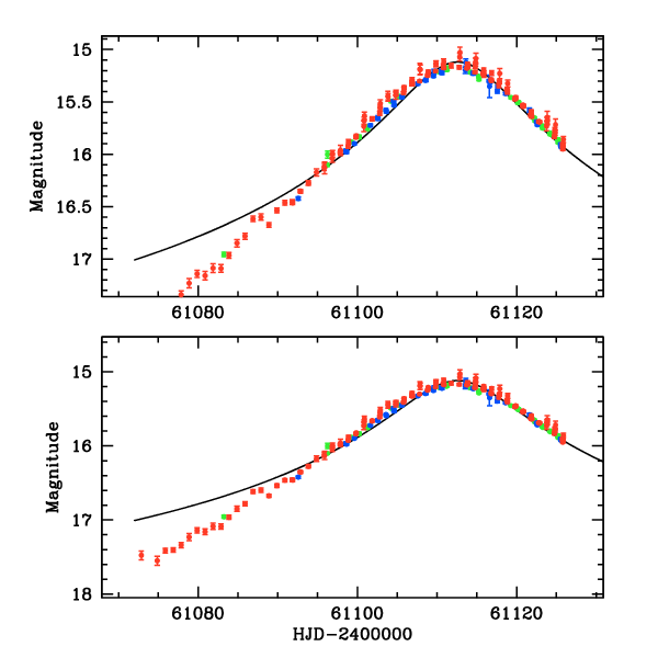
t_0 61112.94458
t_E 199.99
u_0 0.023
Isource 19.10
Ibase 19.03
Icat 19.03
Catalog type OGLE-III
A_I 1.06
Related event OB260037
Alert date 2026 Mar 16 01:21

pySIS light curve

KMT-2026-BLG-0023


CTIO

SAAO

SSO


KMTA04_I.pysis
KMTA04_V.pysis
KMTC04_I.pysis
KMTC04_V.pysis
KMTS04_I.pysis
KMTS04_V.pysis

gzipped tar file for all pySIS data



DIA light curve

KMT-2026-BLG-0023


CTIO

SAAO

SSO

Largest local dchi2 value (same as site of EVENT name)

Local dchi2 is less than 0.05 times global dchi2


KMTA04_I.diapl
KMTC04_I.diapl
KMTS04_I.diapl

gzipped tar file for all DIA data


prev next