KMT-2026-BLG-0022 list page

prev next

Finding chart
Field SSO04N0602
Star ID 002256
Classification clear
RA 18:05:38.46
Dec -30:55:22.58
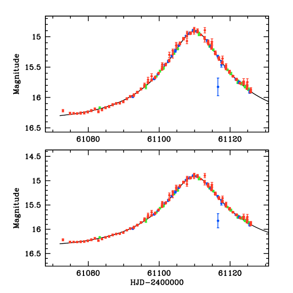
t_0 61110.00941
t_E 21.66
u_0 0.263
Isource 16.39
Ibase 16.40
Icat 16.40
Catalog type OGLE-III
A_I 1.14
Related event OB260040
Alert date 2026 Mar 16 01:21

pySIS light curve

KMT-2026-BLG-0022


CTIO

SAAO

SSO


KMTA04_I.pysis
KMTA04_V.pysis
KMTC04_I.pysis
KMTC04_V.pysis
KMTS04_I.pysis
KMTS04_V.pysis

gzipped tar file for all pySIS data



DIA light curve

KMT-2026-BLG-0022


CTIO

SAAO

SSO

Largest local dchi2 value (same as site of EVENT name)

Local dchi2 is less than 0.05 times global dchi2


KMTA04_I.diapl
KMTC04_I.diapl
KMTS04_I.diapl

gzipped tar file for all DIA data


prev next