KMT-2026-BLG-0355 list page

prev next

Finding chart
Field BLG32N0306
Star ID 009615
Classification clear
RA 18:14:16.58
Dec -28:15:16.49
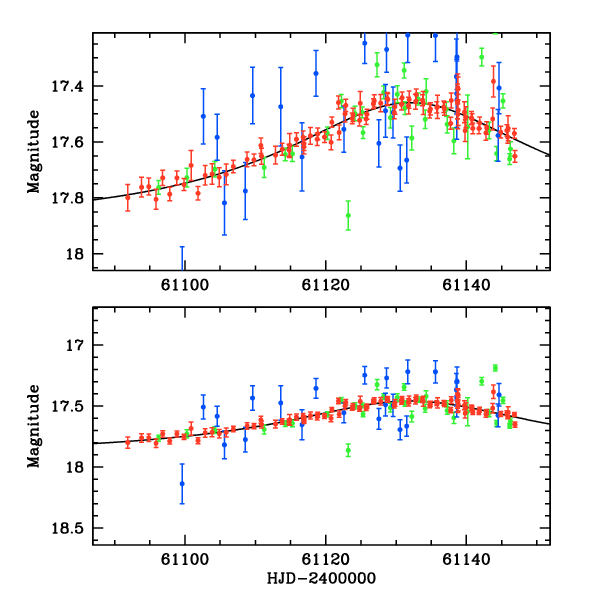
t_0 61132.05327
t_E 43.82
u_0 0.382
Isource 19.29
Ibase 17.86
Icat 17.86
Catalog type OGLE-III
A_I 0.42
Related event
Alert date 2026 Mar 31 01:43

pySIS light curve

KMT-2026-BLG-0355


CTIO

SAAO

SSO


KMTA32_I.pysis
KMTA32_V.pysis
KMTC32_I.pysis
KMTC32_V.pysis
KMTS32_I.pysis
KMTS32_V.pysis

gzipped tar file for all pySIS data



DIA light curve

KMT-2026-BLG-0355


CTIO

SAAO

SSO

Largest local dchi2 value (same as site of EVENT name)

Local dchi2 is less than 0.05 times global dchi2


KMTA32_I.diapl
KMTC32_I.diapl
KMTS32_I.diapl

gzipped tar file for all DIA data


prev next