KMT-2026-BLG-0234 list page

prev next

Finding chart
Field BLG32M0303
Star ID 026188
Classification clear
RA 18:14:39.98
Dec -27:32:34.80
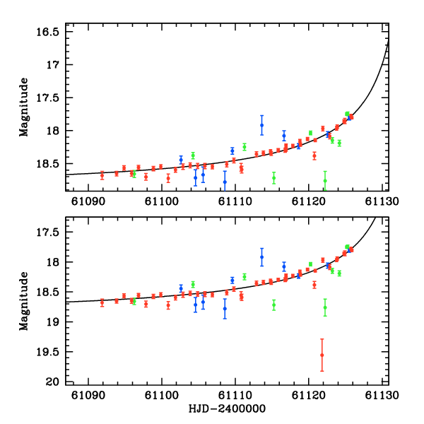
t_0 61133.23151
t_E 22.55
u_0 0.288
Isource 18.77
Ibase 18.76
Icat 18.76
Catalog type OGLE-III
A_I 0.56
Related event OB260216
Alert date 2026 Mar 23 01:57

pySIS light curve

KMT-2026-BLG-0234


CTIO

SAAO

SSO


KMTA32_I.pysis
KMTA32_V.pysis
KMTC32_I.pysis
KMTC32_V.pysis
KMTS32_I.pysis
KMTS32_V.pysis

gzipped tar file for all pySIS data



DIA light curve

KMT-2026-BLG-0234


CTIO

SAAO

SSO

Largest local dchi2 value (same as site of EVENT name)

Local dchi2 is less than 0.05 times global dchi2


KMTA32_I.diapl
KMTC32_I.diapl
KMTS32_I.diapl

gzipped tar file for all DIA data


prev next