KMT-2026-BLG-0179 list page

prev next

Finding chart
Field BLG42K0401
Star ID 013114
Classification clear
RA 17:51:57.91
Dec -29:02:43.98
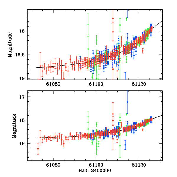
t_0 61147.38220
t_E 105.24
u_0 0.002
Isource 19.60
Ibase 18.87
Icat 18.87
Catalog type DECam i
A_I 3.30
Related event OB260149 PB260047
Alert date 2026 Mar 18 02:08

pySIS light curve

KMT-2026-BLG-0179


CTIO

SAAO

SSO


KMTA42_I.pysis
KMTA42_V.pysis
KMTC42_I.pysis
KMTC42_V.pysis
KMTS42_I.pysis
KMTS42_V.pysis

gzipped tar file for all pySIS data



DIA light curve

KMT-2026-BLG-0179


CTIO

SAAO

SSO

Largest local dchi2 value (same as site of EVENT name)

Local dchi2 is less than 0.05 times global dchi2


KMTA42_I.diapl
KMTC42_I.diapl
KMTS42_I.diapl

gzipped tar file for all DIA data


prev next