KMT-2026-BLG-0141 list page

prev next

Finding chart
Field BLG19T0101
Star ID 037431
Classification clear
RA 17:45:48.94
Dec -25:36:21.31
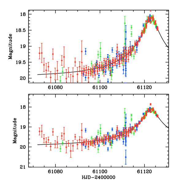
t_0 61123.02360
t_E 63.43
u_0 0.046
Isource 22.07
Ibase 20.00
Icat 20.71
Catalog type DECam i
A_I 2.68
Related event OB260300
Alert date 2026 Mar 16 01:21

pySIS light curve

KMT-2026-BLG-0141


CTIO

SAAO

SSO


KMTA19_I.pysis
KMTA19_V.pysis
KMTC19_I.pysis
KMTC19_V.pysis
KMTS19_I.pysis
KMTS19_V.pysis

gzipped tar file for all pySIS data



DIA light curve

KMT-2026-BLG-0141


CTIO

SAAO

SSO

Largest local dchi2 value (same as site of EVENT name)

Local dchi2 is less than 0.05 times global dchi2


KMTA19_I.diapl
KMTC19_I.diapl
KMTS19_I.diapl

gzipped tar file for all DIA data


prev next