KMT-2026-BLG-0117 list page

prev next

Finding chart
Field BLG03T0106
Star ID 016741
Classification clear
RA 18:01:18.72
Dec -28:18:03.60
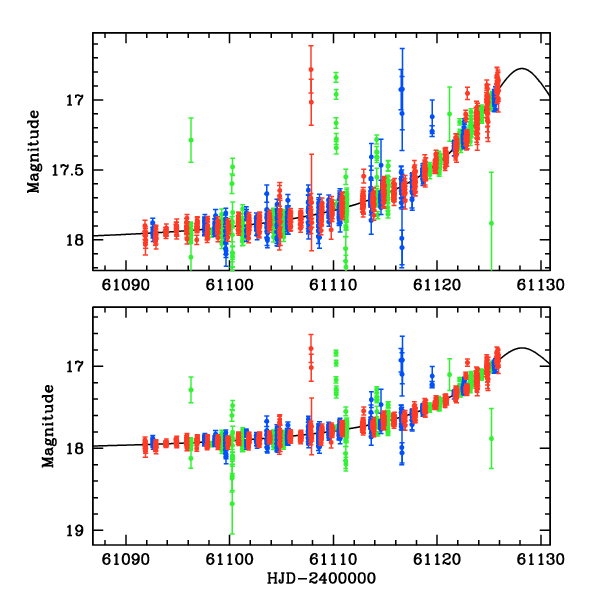
t_0 61128.17833
t_E 34.03
u_0 0.098
Isource 19.60
Ibase 18.09
Icat 18.09
Catalog type OGLE-III
A_I 1.19
Related event
Alert date 2026 Mar 16 01:21

pySIS light curve

KMT-2026-BLG-0117


CTIO

SAAO

SSO


KMTA03_I.pysis
KMTA03_V.pysis
KMTA43_I.pysis
KMTA43_V.pysis
KMTC03_I.pysis
KMTC03_V.pysis
KMTC43_I.pysis
KMTC43_V.pysis
KMTS03_I.pysis
KMTS03_V.pysis
KMTS43_I.pysis
KMTS43_V.pysis

gzipped tar file for all pySIS data



DIA light curve

KMT-2026-BLG-0117


CTIO

SAAO

SSO

Largest local dchi2 value (same as site of EVENT name)

Local dchi2 is less than 0.05 times global dchi2


KMTA03_I.diapl
KMTC03_I.diapl
KMTS03_I.diapl

gzipped tar file for all DIA data


prev next