KMT-2026-BLG-0099 list page

prev next

Finding chart
Field BLG43N0106
Star ID 004854
Classification clear
RA 18:05:58.02
Dec -28:29:06.22
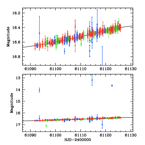
t_0 61171.26752
t_E 199.85
u_0 0.286
Isource 17.50
Ibase 17.01
Icat 17.01
Catalog type OGLE-III
A_I 0.95
Related event
Alert date 2026 Mar 16 01:21

pySIS light curve

KMT-2026-BLG-0099


CTIO

SAAO

SSO


KMTA03_I.pysis
KMTA03_V.pysis
KMTA43_I.pysis
KMTA43_V.pysis
KMTC03_I.pysis
KMTC03_V.pysis
KMTC43_I.pysis
KMTC43_V.pysis
KMTS03_I.pysis
KMTS03_V.pysis
KMTS43_I.pysis
KMTS43_V.pysis

gzipped tar file for all pySIS data



DIA light curve

KMT-2026-BLG-0099


CTIO

SAAO

SSO

Largest local dchi2 value (same as site of EVENT name)

Local dchi2 is less than 0.05 times global dchi2


KMTA43_I.diapl
KMTC43_I.diapl
KMTS43_I.diapl

gzipped tar file for all DIA data


prev next