KMT-2026-BLG-0081 list page

prev next

Finding chart
Field BLG41M0103
Star ID 008908
Classification clear
RA 17:58:32.56
Dec -30:56:29.51
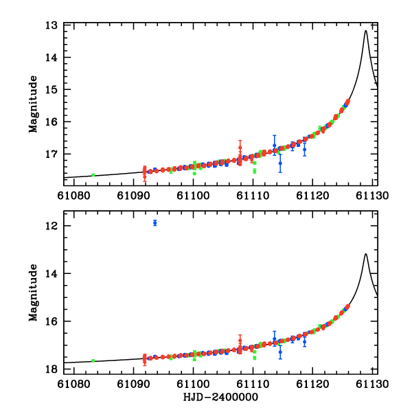
t_0 61128.91186
t_E 184.61
u_0 0.002
Isource 19.89
Ibase 18.24
Icat 18.24
Catalog type OGLE-III
A_I 1.68
Related event OB260017
Alert date 2026 Mar 16 01:21

pySIS light curve

KMT-2026-BLG-0081


CTIO

SAAO

SSO


KMTA01_I.pysis
KMTA01_V.pysis
KMTA41_I.pysis
KMTA41_V.pysis
KMTC01_I.pysis
KMTC01_V.pysis
KMTC41_I.pysis
KMTC41_V.pysis
KMTS01_I.pysis
KMTS01_V.pysis
KMTS41_I.pysis
KMTS41_V.pysis

gzipped tar file for all pySIS data



DIA light curve

KMT-2026-BLG-0081


CTIO

SAAO

SSO

Largest local dchi2 value (same as site of EVENT name)

Local dchi2 is less than 0.05 times global dchi2


KMTA41_I.diapl
KMTC41_I.diapl
KMTS41_I.diapl

gzipped tar file for all DIA data


prev next