KMT-2026-BLG-0073 list page

prev next

Finding chart
Field BLG31N0208
Star ID 038852
Classification clear
RA 18:17:22.53
Dec -25:55:01.70
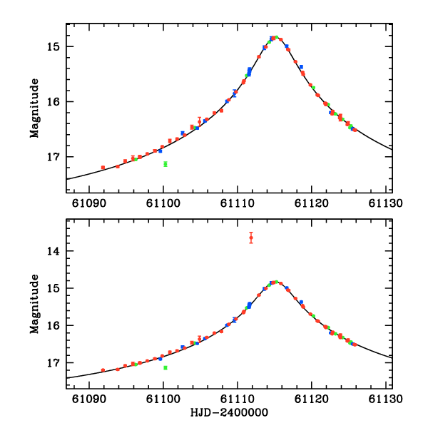
t_0 61115.15769
t_E 199.94
u_0 0.011
Isource 20.09
Ibase 19.62
Icat 19.62
Catalog type OGLE-III
A_I 0.83
Related event OB260224
Alert date 2026 Mar 16 01:21

pySIS light curve

KMT-2026-BLG-0073


CTIO

SAAO

SSO


KMTA31_I.pysis
KMTA31_V.pysis
KMTC31_I.pysis
KMTC31_V.pysis
KMTS31_I.pysis
KMTS31_V.pysis

gzipped tar file for all pySIS data



DIA light curve

KMT-2026-BLG-0073


CTIO

SAAO

SSO

Largest local dchi2 value (same as site of EVENT name)

Local dchi2 is less than 0.05 times global dchi2


KMTA31_I.diapl
KMTC31_I.diapl
KMTS31_I.diapl

gzipped tar file for all DIA data


prev next