KMT-2026-BLG-0068 list page

prev next

Finding chart
Field BLG22N0102
Star ID 031037
Classification clear
RA 17:58:59.69
Dec -34:03:55.01
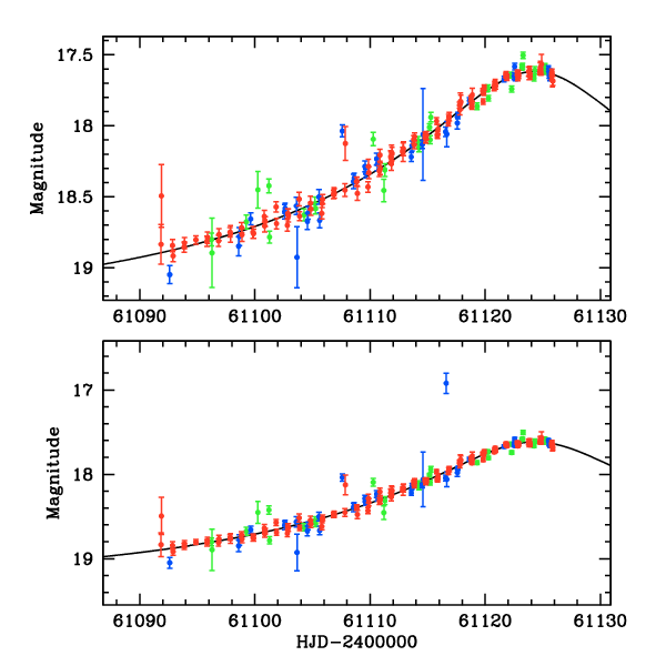
t_0 61124.29682
t_E 63.82
u_0 0.118
Isource 20.08
Ibase 19.40
Icat 19.40
Catalog type OGLE-III
A_I 0.85
Related event OB260184
Alert date 2026 Mar 16 01:21

pySIS light curve

KMT-2026-BLG-0068


CTIO

SAAO

SSO


KMTA22_I.pysis
KMTA22_V.pysis
KMTC22_I.pysis
KMTC22_V.pysis
KMTS22_I.pysis
KMTS22_V.pysis

gzipped tar file for all pySIS data



DIA light curve

KMT-2026-BLG-0068


CTIO

SAAO

SSO

Largest local dchi2 value (same as site of EVENT name)

Local dchi2 is less than 0.05 times global dchi2


KMTA22_I.diapl
KMTC22_I.diapl
KMTS22_I.diapl

gzipped tar file for all DIA data


prev next