KMT-2026-BLG-0038 list page

prev next

Finding chart
Field BLG14N0807
Star ID 008021
Classification clear
RA 17:37:17.64
Dec -29:05:59.03
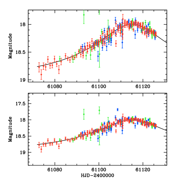
t_0 61115.29763
t_E 28.23
u_0 0.484
Isource 18.94
Ibase 18.82
Icat 18.82
Catalog type DECam i
A_I 3.32
Related event
Alert date 2026 Mar 16 01:21

pySIS light curve

KMT-2026-BLG-0038


CTIO

SAAO

SSO


KMTA14_I.pysis
KMTA14_V.pysis
KMTC14_I.pysis
KMTC14_V.pysis
KMTS14_I.pysis
KMTS14_V.pysis

gzipped tar file for all pySIS data



DIA light curve

KMT-2026-BLG-0038


CTIO

SAAO

SSO

Largest local dchi2 value (same as site of EVENT name)

Local dchi2 is less than 0.05 times global dchi2


KMTA14_I.diapl
KMTC14_I.diapl
KMTS14_I.diapl

gzipped tar file for all DIA data


prev next