KMT-2026-BLG-0029 list page

prev next

Finding chart
Field BLG12N0405
Star ID 019744
Classification clear
RA 17:30:31.48
Dec -28:16:59.95
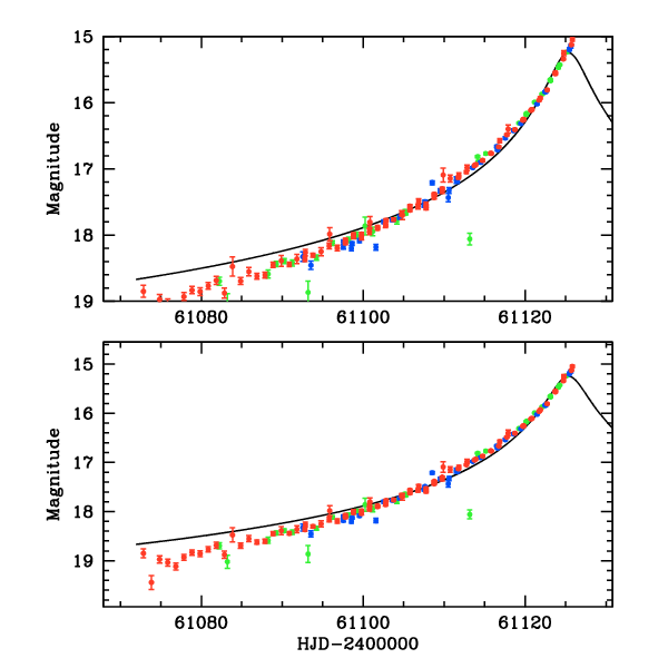
t_0 61128.52864
t_E 200.00
u_0 0.007
Isource 19.87
Ibase 19.88
Icat 19.88
Catalog type DECam i
A_I 2.27
Related event OB260084
Alert date 2026 Mar 16 01:21

pySIS light curve

KMT-2026-BLG-0029


CTIO

SAAO

SSO


KMTA12_I.pysis
KMTC12_I.pysis
KMTC12_V.pysis
KMTS12_I.pysis

gzipped tar file for all pySIS data



DIA light curve

KMT-2026-BLG-0029


CTIO

SAAO

SSO

Largest local dchi2 value (same as site of EVENT name)

Local dchi2 is less than 0.05 times global dchi2


KMTA12_I.diapl
KMTC12_I.diapl
KMTS12_I.diapl

gzipped tar file for all DIA data


prev next