KMT-2015-BLG-0776list page

prevnext

Finding chart
FieldBLG02N2534
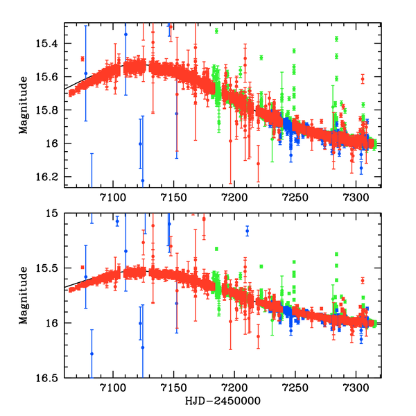
Star ID0132
RA17:56:52.28
Dec-29:16:59.7
t07119.2
teff74.83
u00

pySIS light curve

KMT-2015-BLG-0776


CTIO

SAAO

SSO


KMTA02_I.pysis
KMTC02_I.pysis
KMTS02_I.pysis




CTIO

SAAO

SSO


CTIO(dia)
SAAO(dia)
SSO(dia)