KMT-2015-BLG-0731list page

prevnext

Finding chart
FieldBLG02K3923
Star ID0122
RA17:50:25.79
Dec-28:25:29.4
t07120.0
teff42.09
u00

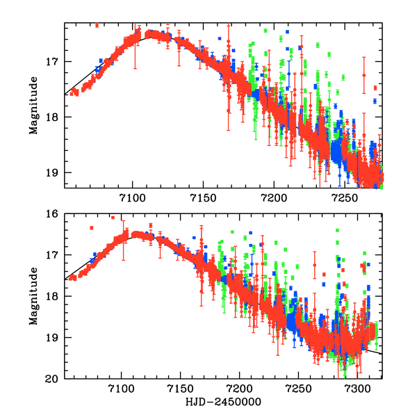
pySIS light curve

KMT-2015-BLG-0731


CTIO

SAAO

SSO


KMTA02_I.pysis
KMTC02_I.pysis
KMTS02_I.pysis




CTIO

SAAO

SSO


CTIO(dia)
SAAO(dia)
SSO(dia)