KMT-2015-BLG-0729list page

prevnext

Finding chart
FieldBLG02K3831
Star ID0203
RA17:50:31.26
Dec-28:14:32.0
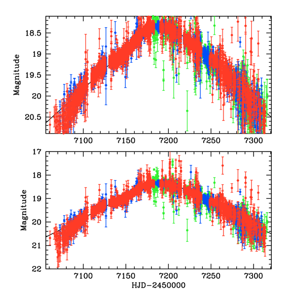
t07197.2
teff56.12
u00

pySIS light curve

KMT-2015-BLG-0729


CTIO

SAAO

SSO


KMTA02_I.pysis
KMTC02_I.pysis
KMTS02_I.pysis




CTIO

SAAO

SSO


CTIO(dia)
SAAO(dia)
SSO(dia)