KMT-2015-BLG-0719list page

prevnext

Finding chart
FieldBLG02K2025
Star ID0078
RA17:52:31.61
Dec-28:23:02.8
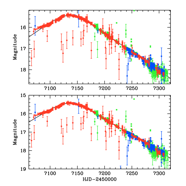
t07134.1
teff42.09
u00

pySIS light curve

KMT-2015-BLG-0719


CTIO

SAAO

SSO


KMTA02_I.pysis
KMTC02_I.pysis
KMTS02_I.pysis




CTIO

SAAO

SSO


CTIO(dia)
SSO(dia)