KMT-2026-BLG-0378 list page

prev next

Finding chart
Field BLG13M0703
Star ID 033680
Classification clear
RA 17:35:55.42
Dec -33:58:32.12
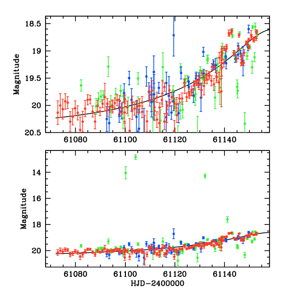
t_0 61154.18014
t_E 51.87
u_0 0.250
Isource 20.31
Ibase 20.00
Icat 21.94
Catalog type DECam i
A_I 3.98
Related event
Alert date 2026 Apr 03 01:44

pySIS light curve

KMT-2026-BLG-0378


CTIO

SAAO

SSO


KMTA13_I.pysis
KMTA13_V.pysis
KMTC13_I.pysis
KMTC13_V.pysis
KMTS13_I.pysis

gzipped tar file for all pySIS data



DIA light curve

KMT-2026-BLG-0378


CTIO

SAAO

SSO

Largest local dchi2 value (same as site of EVENT name)

Local dchi2 is less than 0.05 times global dchi2


KMTA13_I.diapl
KMTC13_I.diapl
KMTS13_I.diapl

gzipped tar file for all DIA data


prev next