KMT-2026-BLG-0227 list page

prev next

Finding chart
Field BLG19K0106
Star ID 061931
Classification clear
RA 17:45:31.91
Dec -23:56:04.99
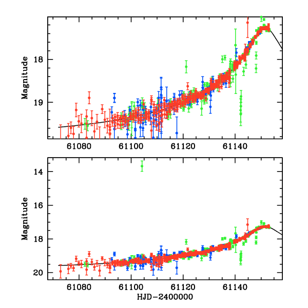
t_0 61151.57265
t_E 117.26
u_0 0.043
Isource 20.72
Ibase 20.00
Icat 20.20
Catalog type OGLE-III
A_I 1.62
Related event OB260276
Alert date 2026 Mar 23 01:57

pySIS light curve

KMT-2026-BLG-0227


CTIO

SAAO

SSO


KMTA19_I.pysis
KMTA19_V.pysis
KMTC19_I.pysis
KMTC19_V.pysis
KMTS19_I.pysis
KMTS19_V.pysis

gzipped tar file for all pySIS data



DIA light curve

KMT-2026-BLG-0227


CTIO

SAAO

SSO

Largest local dchi2 value (same as site of EVENT name)

Local dchi2 is less than 0.05 times global dchi2


KMTA19_I.diapl
KMTC19_I.diapl
KMTS19_I.diapl

gzipped tar file for all DIA data


prev next