KMT-2026-BLG-0174 list page

prev next

Finding chart
Field BLG18K0207
Star ID 015510
Classification clear
RA 17:45:02.40
Dec -25:52:09.95
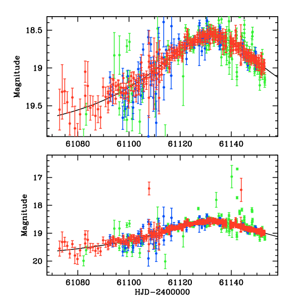
t_0 61132.19435
t_E 58.97
u_0 0.298
Isource 19.92
Ibase 20.00
Icat 20.07
Catalog type DECam i
A_I 2.98
Related event OB260362
Alert date 2026 Mar 18 02:08

pySIS light curve

KMT-2026-BLG-0174


CTIO

SAAO

SSO


KMTA18_I.pysis
KMTA18_V.pysis
KMTC18_I.pysis
KMTC18_V.pysis
KMTS18_I.pysis
KMTS18_V.pysis

gzipped tar file for all pySIS data



DIA light curve

KMT-2026-BLG-0174


CTIO

SAAO

SSO

Largest local dchi2 value (same as site of EVENT name)

Local dchi2 is less than 0.05 times global dchi2


KMTA18_I.diapl
KMTC18_I.diapl
KMTS18_I.diapl

gzipped tar file for all DIA data


prev next