KMT-2026-BLG-0049 list page

prev next

Finding chart
Field BLG17K0406
Star ID 006454
Classification clear
RA 17:42:35.16
Dec -32:31:03.61
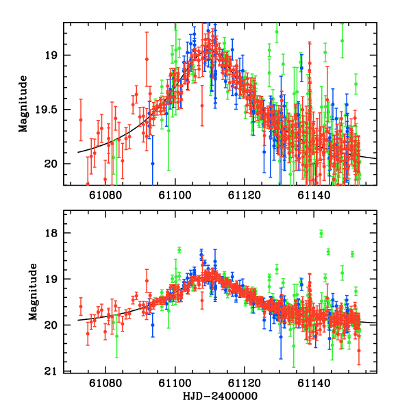
t_0 61109.67769
t_E 30.86
u_0 0.275
Isource 20.55
Ibase 20.00
Icat 20.26
Catalog type DECam i
A_I 5.12
Related event PB260041
Alert date 2026 Mar 16 01:21

pySIS light curve

KMT-2026-BLG-0049


CTIO

SAAO

SSO


KMTA17_I.pysis
KMTA17_V.pysis
KMTC17_I.pysis
KMTC17_V.pysis
KMTS17_I.pysis
KMTS17_V.pysis

gzipped tar file for all pySIS data



DIA light curve

KMT-2026-BLG-0049


CTIO

SAAO

SSO

Largest local dchi2 value (same as site of EVENT name)

Local dchi2 is less than 0.05 times global dchi2


KMTA17_I.diapl
KMTC17_I.diapl
KMTS17_I.diapl

gzipped tar file for all DIA data


prev next