KMT-2026-BLG-0035 list page

prev next

Finding chart
Field BLG14M0307
Star ID 004877
Classification clear
RA 17:39:49.57
Dec -27:59:14.82
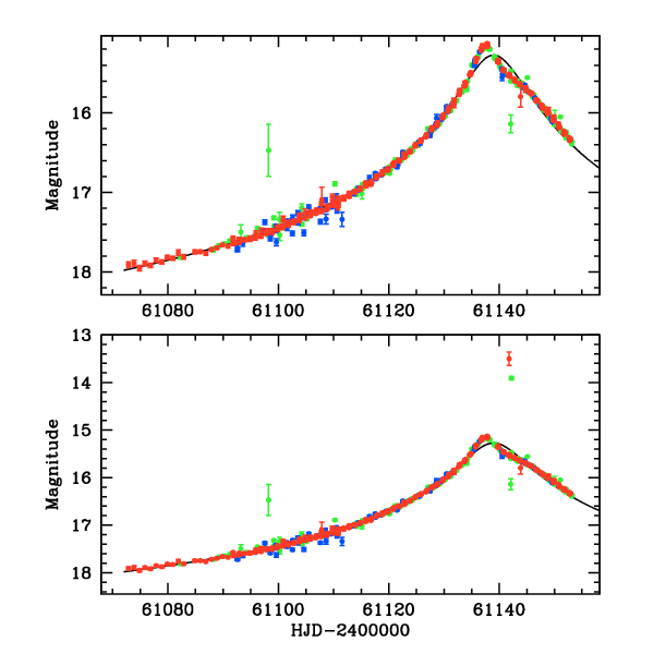
t_0 61139.01195
t_E 199.88
u_0 0.027
Isource 19.18
Ibase 18.36
Icat 18.36
Catalog type DECam i
A_I 3.34
Related event OB260130 PB260024
Alert date 2026 Mar 16 01:21

pySIS light curve

KMT-2026-BLG-0035


CTIO

SAAO

SSO


KMTA14_I.pysis
KMTA14_V.pysis
KMTC14_I.pysis
KMTC14_V.pysis
KMTS14_I.pysis
KMTS14_V.pysis

gzipped tar file for all pySIS data



DIA light curve

KMT-2026-BLG-0035


CTIO

SAAO

SSO

Largest local dchi2 value (same as site of EVENT name)

Local dchi2 is less than 0.05 times global dchi2


KMTA14_I.diapl
KMTC14_I.diapl
KMTS14_I.diapl

gzipped tar file for all DIA data


prev next