KMT-2026-BLG-0031 list page

prev next

Finding chart
Field BLG12T0107
Star ID 001337
Classification clear
RA 17:27:06.27
Dec -28:02:55.00
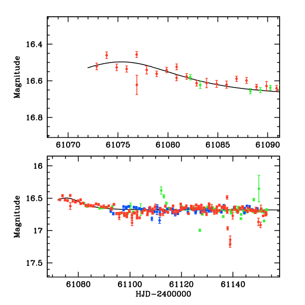
t_0 61075.36402
t_E 7.95
u_0 0.900
Isource 17.58
Ibase 16.88
Icat 16.88
Catalog type DECam i
A_I 2.16
Related event OB260085
Alert date 2026 Mar 16 01:21

pySIS light curve

KMT-2026-BLG-0031


CTIO

SAAO

SSO


KMTA12_I.pysis
KMTC12_I.pysis
KMTC12_V.pysis
KMTS12_I.pysis

gzipped tar file for all pySIS data



DIA light curve

KMT-2026-BLG-0031


CTIO

SAAO

SSO

Largest local dchi2 value (same as site of EVENT name)

Local dchi2 is less than 0.05 times global dchi2


KMTA12_I.diapl
KMTC12_I.diapl
KMTS12_I.diapl

gzipped tar file for all DIA data


prev next