KMT-2025-BLG-3111 list page

prev next

Finding chart
Field BLG33M0706
Star ID 038784
EFClassification clear
ALClassification X
RA 18:14:04.27
Dec -29:15:57.71
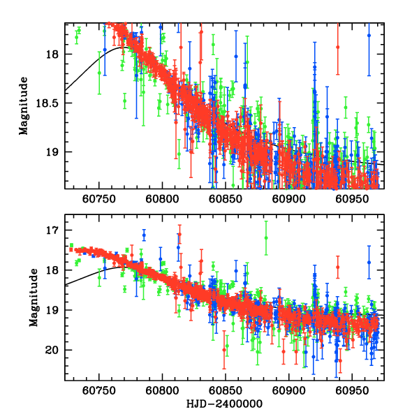
t_0 60769.25679
t_E 119.63
u_0 0.315
Isource 19.22
Ibase 19.51
Icat 19.51
Catalog type OGLE-III
A_I 0.55
Related event OB250084 MB250071
Alert date -

pySIS light curve

KMT-2025-BLG-3111


CTIO

SAAO

SSO


KMTA33_I.pysis
KMTA33_V.pysis
KMTC33_I.pysis
KMTC33_V.pysis
KMTS33_I.pysis
KMTS33_V.pysis

gzipped tar file for all pySIS data



DIA light curve

KMT-2025-BLG-3111

CTIO

SAAO

SSO

Largest local dchi2 value (same as site of EVENT name)

Local dchi2 is less than 0.05 times global dchi2


KMTA33_I.diapl
KMTC33_I.diapl
KMTS33_I.diapl

gzipped tar file for all DIA data


prev next