KMT-2025-BLG-2838 list page

prev next

Finding chart
Field BLG13K0407
Star ID 000057
EFClassification clear
ALClassification X
RA 17:32:40.45
Dec -33:27:35.06
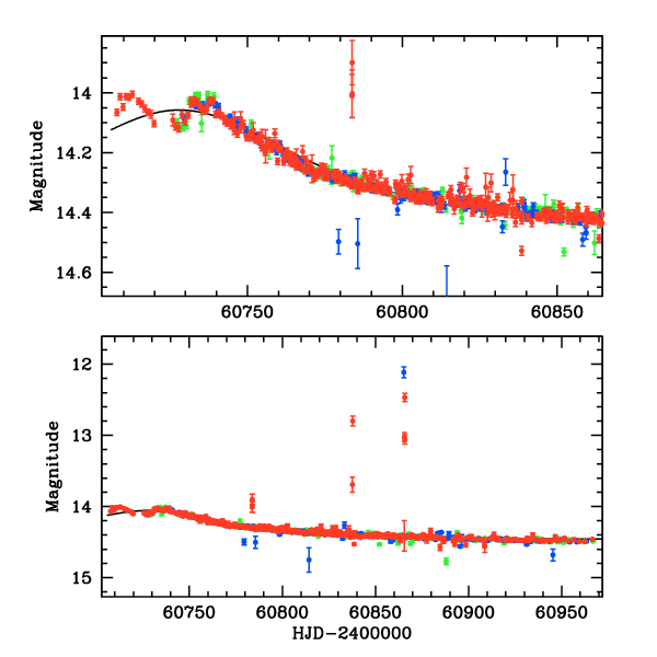
t_0 60728.06453
t_E 68.29
u_0 0.608
Isource 15.17
Ibase 14.59
Icat 14.59
Catalog type DECam i
A_I 7.13
Related event
Alert date -

pySIS light curve

KMT-2025-BLG-2838


CTIO

SAAO

SSO


KMTA13_I.pysis
KMTA13_V.pysis
KMTC13_I.pysis
KMTC13_V.pysis
KMTS13_I.pysis
KMTS13_V.pysis

gzipped tar file for all pySIS data



DIA light curve

KMT-2025-BLG-2838

CTIO

SAAO

SSO

Largest local dchi2 value (same as site of EVENT name)

Local dchi2 is less than 0.05 times global dchi2


KMTA13_I.diapl
KMTC13_I.diapl
KMTS13_I.diapl

gzipped tar file for all DIA data


prev next