KMT-2025-BLG-2817 list page

prev next

Finding chart
Field SAO11M0701
Star ID 001790
EFClassification clear
ALClassification X
RA 17:28:29.86
Dec -29:53:07.55
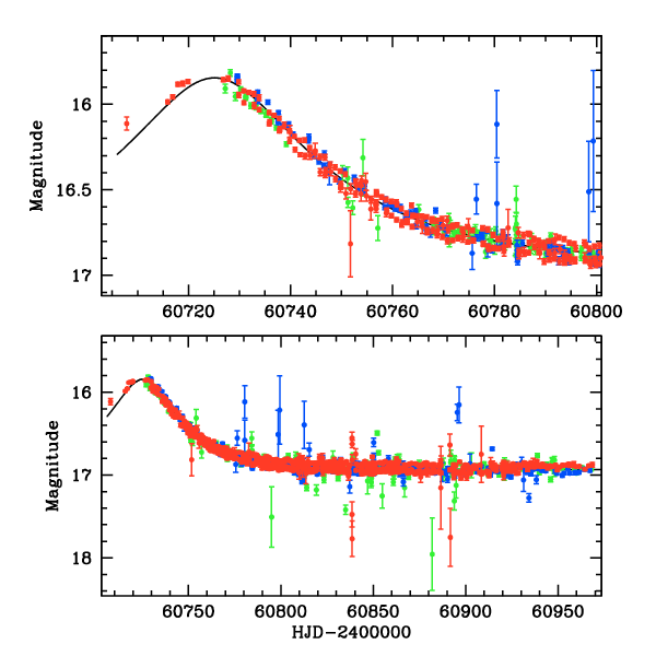
t_0 60725.09897
t_E 37.94
u_0 0.387
Isource 16.93
Ibase 16.96
Icat 16.96
Catalog type DECam i
A_I 2.35
Related event
Alert date -

pySIS light curve

KMT-2025-BLG-2817


CTIO

SAAO

SSO


KMTA11_I.pysis
KMTA11_V.pysis
KMTC11_I.pysis
KMTC11_V.pysis
KMTS11_I.pysis
KMTS11_V.pysis

gzipped tar file for all pySIS data



DIA light curve

KMT-2025-BLG-2817

CTIO

SAAO

SSO

Largest local dchi2 value (same as site of EVENT name)

Local dchi2 is less than 0.05 times global dchi2


KMTA11_I.diapl
KMTC11_I.diapl
KMTS11_I.diapl

gzipped tar file for all DIA data


prev next