KMT-2025-BLG-2813 list page

prev next

Finding chart
Field BLG11M0104
Star ID 000434
EFClassification clear
ALClassification X
RA 17:31:57.31
Dec -29:24:53.64
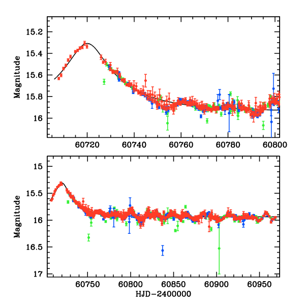
t_0 60720.01081
t_E 40.99
u_0 0.196
Isource 17.75
Ibase 15.94
Icat 15.94
Catalog type DECam i
A_I 2.88
Related event
Alert date -

pySIS light curve

KMT-2025-BLG-2813


CTIO

SAAO

SSO


KMTA11_I.pysis
KMTA11_V.pysis
KMTC11_I.pysis
KMTS11_I.pysis

gzipped tar file for all pySIS data



DIA light curve

KMT-2025-BLG-2813

CTIO

SAAO

SSO

Largest local dchi2 value (same as site of EVENT name)

Local dchi2 is less than 0.05 times global dchi2


KMTA11_I.diapl
KMTC11_I.diapl
KMTS11_I.diapl

gzipped tar file for all DIA data


prev next