KMT-2025-BLG-2448 list page

prev next

Finding chart
Field BLG35M0705
Star ID 000349
EFClassification clear
ALClassification probable
RA 18:05:14.91
Dec -25:10:30.25
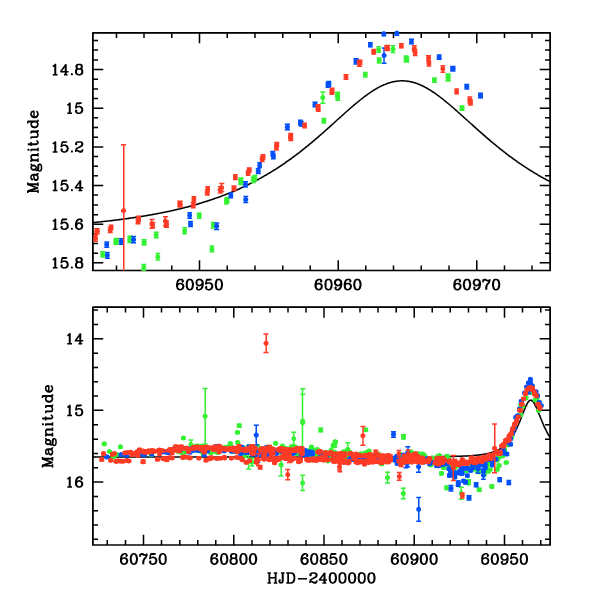
t_0 60964.61335
t_E 11.18
u_0 0.532
Isource 15.65
Ibase 15.68
Icat 15.68
Catalog type DoPhot
A_I 3.90
Related event MB250346
Alert date 2025 Sep 15 03:55

pySIS light curve

KMT-2025-BLG-2448


CTIO

SAAO

SSO


KMTA35_I.pysis
KMTA35_V.pysis
KMTC35_I.pysis
KMTC35_V.pysis
KMTS35_I.pysis
KMTS35_V.pysis

gzipped tar file for all pySIS data



DIA light curve

KMT-2025-BLG-2448

CTIO

SAAO

SSO

Largest local dchi2 value (same as site of EVENT name)

Local dchi2 is less than 0.05 times global dchi2


KMTA35_I.diapl
KMTC35_I.diapl
KMTS35_I.diapl

gzipped tar file for all DIA data


prev next