KMT-2021-BLG-3026 list page

prev next

Finding chart
Field BLG31K0604
Star ID 003302
EFClassification clear
ALClassification X
RA 18:10:06.55
Dec -25:21:13.61
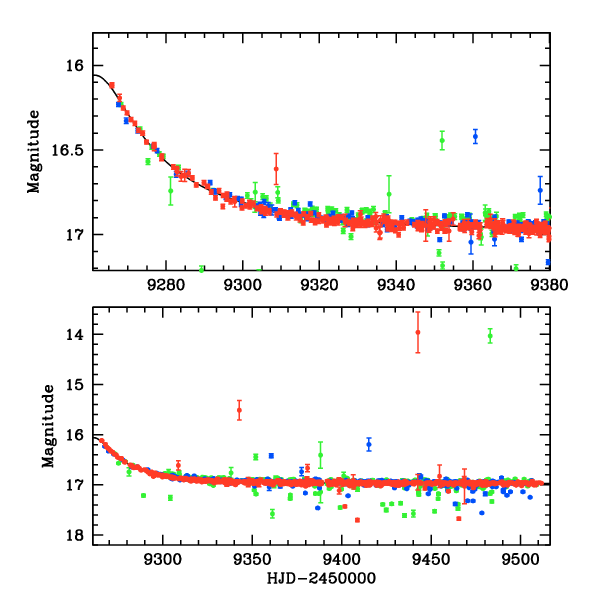
t_0 9261.45764
t_E 59.37
u_0 0.146
Isource 18.60
Ibase 16.98
Icat 16.98
Catalog type OGLE-III
A_I 1.68
Related event MB21012
Alert date -

pySIS light curve

KMT-2021-BLG-3026


CTIO

SAAO

SSO


KMTA31_I.pysis
KMTA31_V.pysis
KMTC31_I.pysis
KMTC31_V.pysis
KMTS31_I.pysis
KMTS31_V.pysis

gzipped tar file for all pySIS data



DIA light curve

KMT-2021-BLG-3026

CTIO

SAAO

SSO

Largest local dchi2 value (same as site of EVENT name)

Local dchi2 is less than 0.05 times global dchi2


KMTA31_I.diapl
KMTC31_I.diapl
KMTS31_I.diapl

gzipped tar file for all DIA data


prev next