KMT-2015-BLG-0741list page

prevnext

Finding chart
FieldBLG02M2931
Star ID3027
RA17:56:20.46
Dec-28:13:08.9
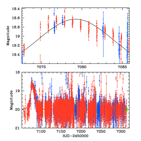
t07080.1
teff4.21
u01

pySIS light curve

KMT-2015-BLG-0741


CTIO

SAAO

SSO


KMTA02_I.pysis
KMTC02_I.pysis
KMTS02_I.pysis




CTIO

SAAO

SSO


CTIO(dia)
SSO(dia)