KMT-2015-BLG-0715list page

prevnext

Finding chart
FieldBLG01T3237
Star ID0121
RA17:51:06.52
Dec-31:20:37.7
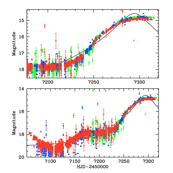
t07302.4
teff42.09
u01

pySIS light curve

KMT-2015-BLG-0715


CTIO

SAAO

SSO


KMTA01_I.pysis
KMTC01_I.pysis
KMTS01_I.pysis




CTIO

SAAO

SSO


CTIO(dia)
SAAO(dia)
SSO(dia)