KMT-2015-BLG-0671list page

prevnext

Finding chart
FieldBLG04T3733
Star ID3266
RA18:00:14.89
Dec-30:21:50.5
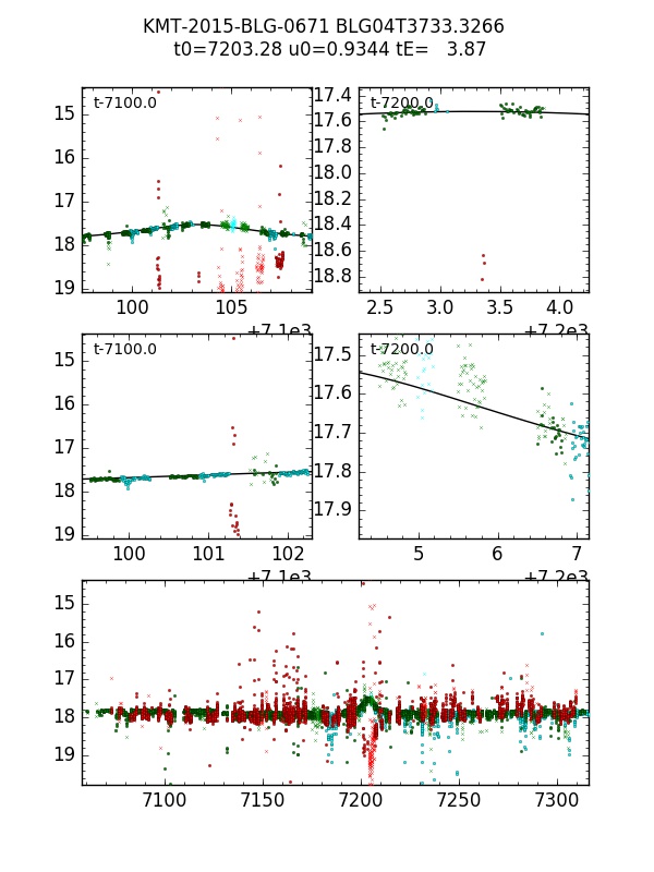
t07203.0
teff5.62
u01

pySIS light curve

KMT-2015-BLG-0671


CTIO

SAAO

SSO


KMTA04_I.pysis
KMTC04_I.pysis
KMTS04_I.pysis




CTIO

SAAO

SSO


CTIO(dia)
SAAO(dia)
SSO(dia)