KMT-2015-BLG-0584list page

prevnext

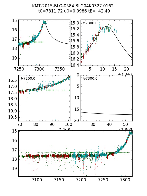
Finding chart
FieldBLG04K0327
Star ID0162
RA18:04:16.96
Dec-29:23:50.6
t07317.6
teff13.32
u01

pySIS light curve

KMT-2015-BLG-0584


CTIO

SAAO

SSO


KMTA04_I.pysis
KMTC04_I.pysis
KMTS04_I.pysis




CTIO

SAAO

SSO


CTIO(dia)
SAAO(dia)
SSO(dia)