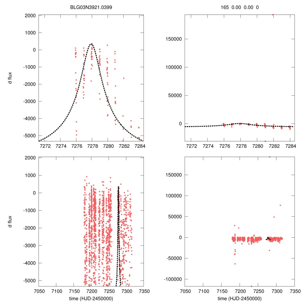
KMT-2015-BLG-0538list page

prevnext

Finding chart
FieldBLG03N3921
Star ID0399
RA18:04:46.54
Dec-28:31:34.6
t07162.4
teff0.56
u01

pySIS light curve

KMT-2015-BLG-0538


CTIO

SAAO

SSO


KMTA03_I.pysis
KMTC03_I.pysis
KMTS03_I.pysis




CTIO

SAAO

SSO


CTIO(dia)
SAAO(dia)
SSO(dia)