KMT-2015-BLG-0529list page

prevnext

Finding chart
FieldBLG03N3322
Star ID2097
RA18:05:26.20
Dec-28:29:15.1
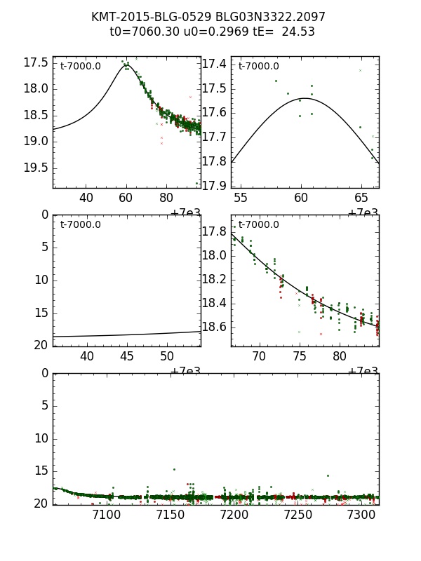
t07055.7
teff13.32
u01

pySIS light curve

KMT-2015-BLG-0529


CTIO

SAAO

SSO


KMTA03_I.pysis
KMTC03_I.pysis
KMTS03_I.pysis




CTIO

SAAO

SSO


CTIO(dia)
SAAO(dia)
SSO(dia)