KMT-2015-BLG-0410list page

prevnext

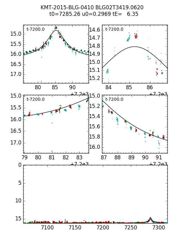
Finding chart
FieldBLG02T3419
Star ID0620
RA17:50:57.24
Dec-29:38:22.1
t07285.2
teff4.21
u01

pySIS light curve

KMT-2015-BLG-0410


CTIO

SAAO

SSO


KMTA02_I.pysis
KMTC02_I.pysis
KMTS02_I.pysis




CTIO

SAAO

SSO


CTIO(dia)
SAAO(dia)
SSO(dia)