KMT-2015-BLG-0326list page

prevnext

Finding chart
FieldBLG02N3411
Star ID2549
RA17:55:51.10
Dec-29:51:58.5
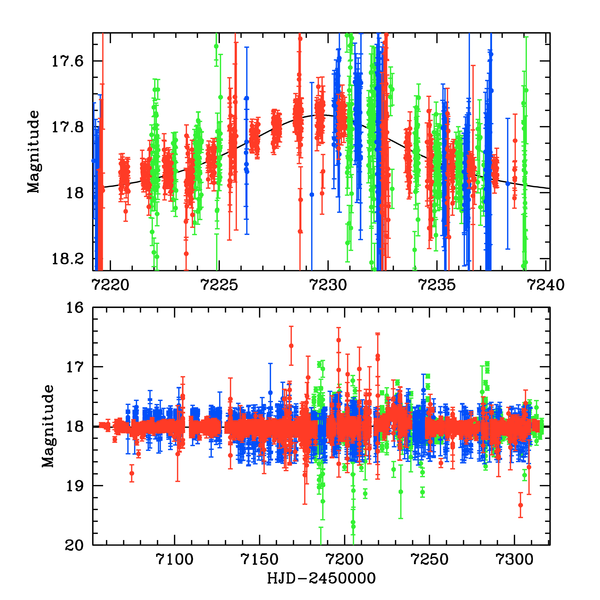
t07230.4
teff7.49
u01

pySIS light curve

KMT-2015-BLG-0326


CTIO

SAAO

SSO


KMTA02_I.pysis
KMTC02_I.pysis
KMTS02_I.pysis




CTIO

SAAO

SSO


CTIO(dia)
SAAO(dia)
SSO(dia)