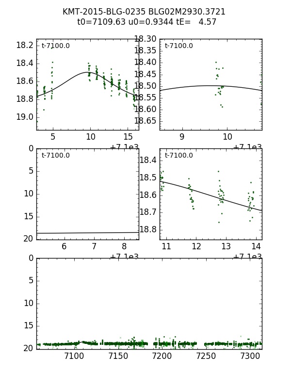
KMT-2015-BLG-0235list page

prevnext

Finding chart
FieldBLG02M2930
Star ID3721
RA17:56:22.90
Dec-28:15:11.6
t07109.6
teff4.21
u00

pySIS light curve

KMT-2015-BLG-0235


CTIO

SAAO

SSO


KMTA02_I.pysis
KMTC02_I.pysis
KMTS02_I.pysis




CTIO

SAAO

SSO


CTIO(dia)
SSO(dia)