KMT-2015-BLG-0203list page

prevnext

Finding chart
FieldBLG02M0407
Star ID0076
RA17:59:13.76
Dec-28:49:50.1
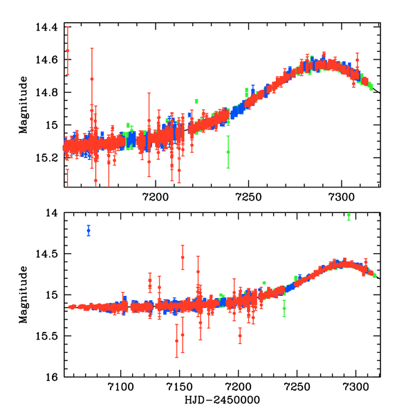
t07288.4
teff42.09
u01

pySIS light curve

KMT-2015-BLG-0203


CTIO

SAAO

SSO


KMTA02_I.pysis
KMTC02_I.pysis
KMTS02_I.pysis




CTIO

SAAO

SSO


CTIO(dia)
SAAO(dia)
SSO(dia)