KMT-2015-BLG-0153list page

prevnext

Finding chart
FieldBLG01T1619
Star ID1943
RA17:52:59.64
Dec-31:49:13.5
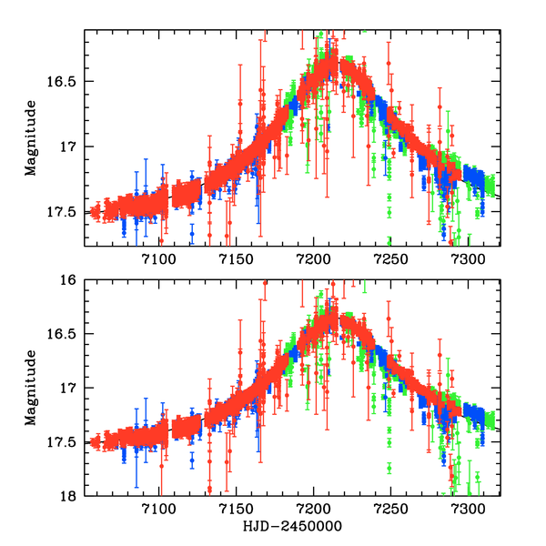
t07218.2
teff42.09
u01

pySIS light curve

KMT-2015-BLG-0153


CTIO

SAAO

SSO


KMTA01_I.pysis
KMTC01_I.pysis
KMTS01_I.pysis




CTIO

SAAO

SSO


CTIO(dia)
SAAO(dia)
SSO(dia)