KMT-2015-BLG-0081list page

prevnext

Finding chart
FieldBLG01M2807
Star ID1503
RA17:56:35.56
Dec-30:58:45.5
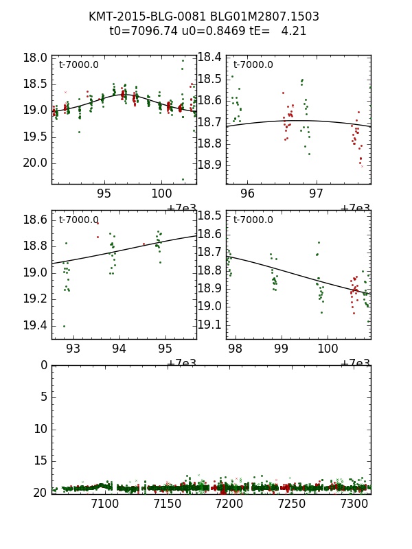
t07097.2
teff5.62
u01

pySIS light curve

KMT-2015-BLG-0081


CTIO

SAAO

SSO


KMTA01_I.pysis
KMTC01_I.pysis
KMTS01_I.pysis




CTIO

SAAO

SSO


CTIO(dia)
SAAO(dia)
SSO(dia)