KMT-2015-BLG-0037list page

prevnext

Finding chart
FieldBLG01K3021
Star ID0283
RA17:51:19.33
Dec-30:38:03.7
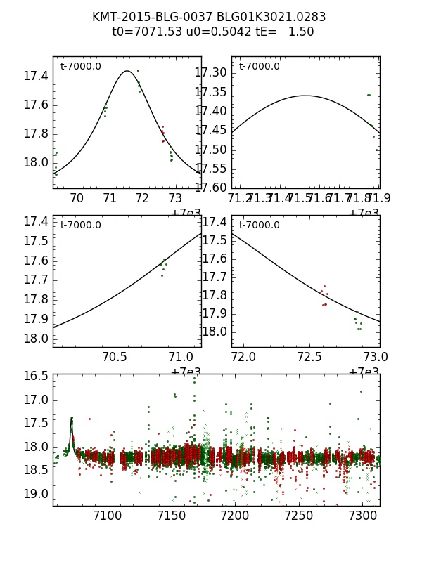
t07072.0
teff1.78
u01

pySIS light curve

KMT-2015-BLG-0037


CTIO

SAAO

SSO


KMTA01_I.pysis
KMTC01_I.pysis
KMTS01_I.pysis




CTIO

SAAO

SSO


CTIO(dia)
SAAO(dia)
SSO(dia)