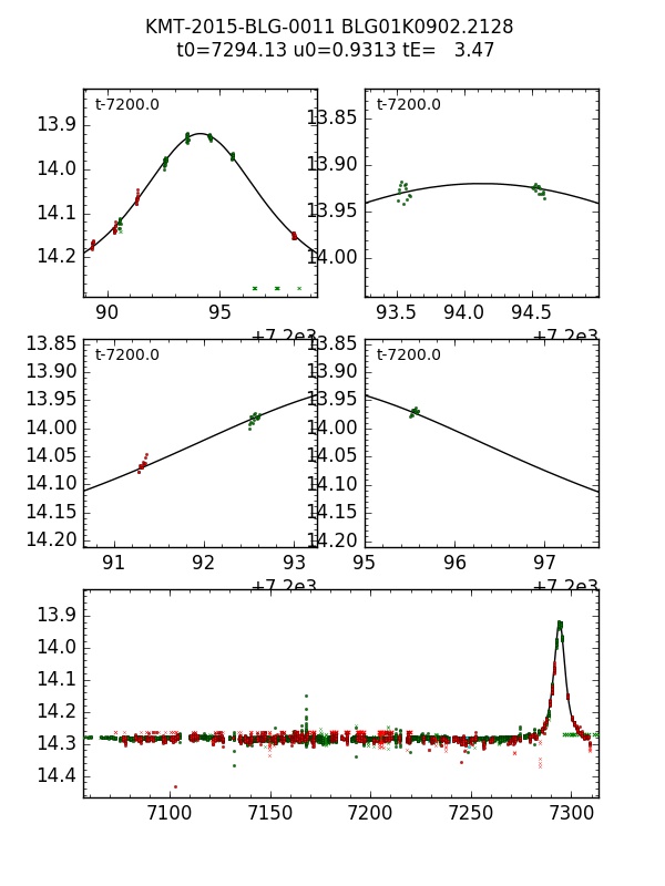
KMT-2015-BLG-0011list page

prevnext

Finding chart
FieldBLG01K0902
Star ID2128
RA17:53:45.72
Dec-31:08:04.5
t07294.3
teff2.37
u00

pySIS light curve

KMT-2015-BLG-0011


CTIO

SAAO

SSO


KMTA01_I.pysis
KMTC01_I.pysis
KMTS01_I.pysis




CTIO

SAAO

SSO


CTIO(dia)
SAAO(dia)
SSO(dia)