KMT-2015-BLG-0002list page

prevnext

Finding chart
FieldBLG01K0208
Star ID0368
RA17:54:36.66
Dec-30:57:40.5
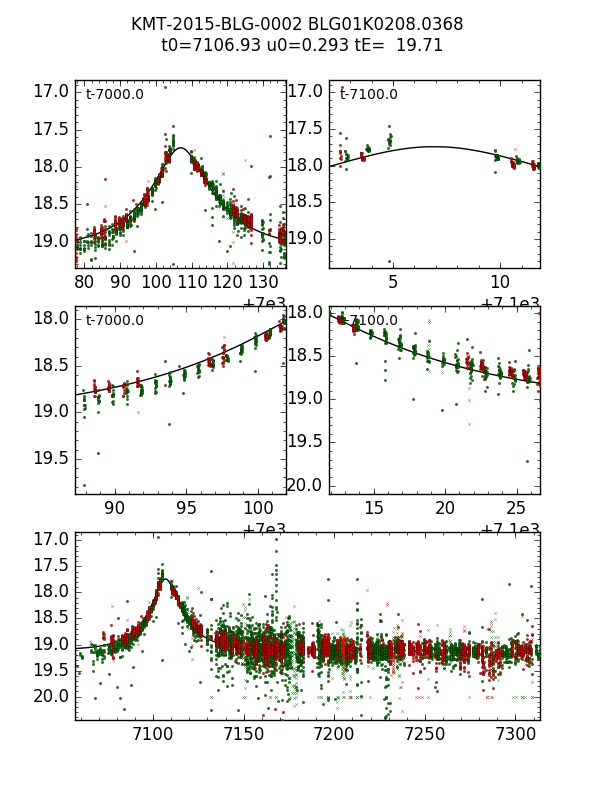
t07106.5
teff5.62
u00

pySIS light curve

KMT-2015-BLG-0002


CTIO

SAAO

SSO


KMTA01_I.pysis
KMTC01_I.pysis
KMTS01_I.pysis




CTIO

SAAO

SSO


CTIO(dia)
SAAO(dia)
SSO(dia)