한국과 유럽의 지상-우주 동시관측으로 토성급 질량의 나홀로 행성 발견
작성자 KMTNet
작성일 26-01-28 17:23
568
본문
한국천문연구원이 참여한 국제 공동연구진이 우리나라의 외계행성탐색시스템(이하 ‘KMTNet’; Korea Microlensing Telescope Network)과 유럽우주국 가이아(GAIA) 우주망원경을 활용해 토성급 질량의 나홀로 행성을 발견하였다.
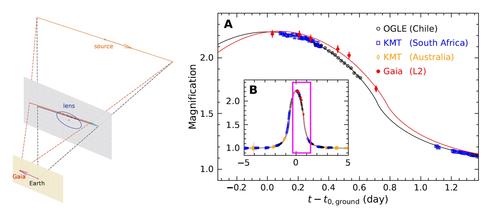
나홀로 행성은 중심별의 중력에서 벗어나 우주 공간을 홀로 떠도는 행성으로, 이러한 천체들은 행성계의 형성과 진화를 이해하는 중요한 단서를 제공한다. 이번에 발견된 나홀로 행성 ‘KMT-2024-BLG-0792’은 토성 질량의 약 0.7배 크기로, 지구로부터 1만 광년 가량 떨어져 있다. 이 행성은 기존의 나홀로 행성 발견과 달리, 지상망원경과 우주망원경을 동시에 활용하여 지구로부터의 정확한 거리를 측정한 첫 번째 나홀로 행성으로 기록되었다.
[보도자료 링크]
그림 1. 지상망원경인 KMTNet과 가이아 우주망원경으로 토성급 질량의 나홀로 행성을 관측하는 방법 가상도
그림 2. (왼쪽) 지상과 가이아 우주망원경이 관측한 미시중력렌즈 3차원 개략도 (오른쪽) KMT-2024-BLG-0792/OGLE-2024-BLG-0516 미시중력렌즈 사건의 광도 곡선. (A 지상망원경과 가이아 우주망원경이 공동 관측한 광도 곡선 모습. B 미시 중력렌즈 사건의 전체 모습)


